
Easy composition and perfect baseline
During the experiment, when the absorbance difference between AB and ab phases is large at the setwavelength, the baseline regular fluctuation is easy to appear in low proportion mixing. 3200 high pressureconstant flow pump adopts patented pulsation damper and gradient mixer, which greatly reduces pulsationand improves mixing effect. Even at the limit ratio of 1:99, it has perfect baseline performance.
Easy to be sensitive and knows you better
It is often encountered in experiments that different analysis methods and different detection environmentshave different sensitivities.. 3200 system’s independent new detection pool, uniaue air duct system and microstep driver control the static angle of the unique technology, while achieving high precision, high sensitivity, lownoise, low drift performance, so that the laboratory analysis work to achieve twice the result with half the effort.
Easy analysis and stable for quantitative
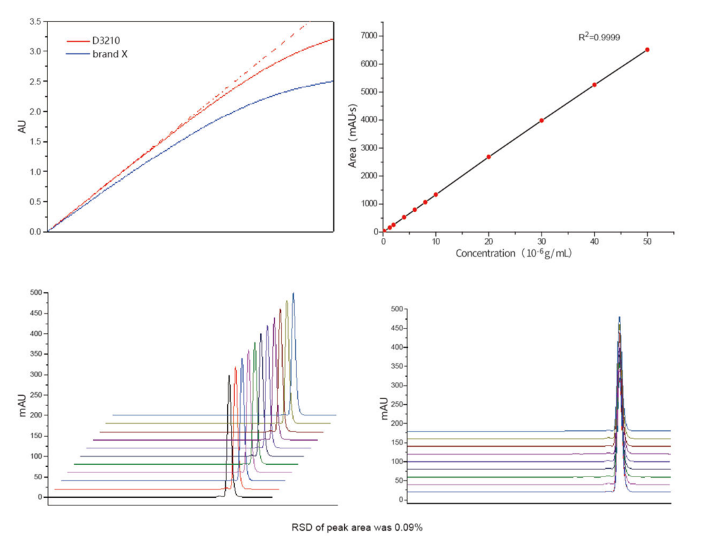
The data acquisition system adopts 24 bit high-precision AD conversion chip, with high data acquisitionaccuracy and wide linear range, up to 2.5AU, which can meet the requirements of high concentration andmicro quantitative analysis at the same time.
0.1-50uL The injection volume reached R*= 0.9999, both in micro injection and large volume injection.
Super housekeeper and smooth communication
Kromstation Chromatographic data workstation chromatographic data workstation is the LC system work.station software independently developed by Yilite company, which conforms to CNAs certification. Kromstation can control liquid chromatography with personal computer and complete various operations. it has power.ful functions such as database, audit tracking, GLP, data archiving and backup, electronic siqnature. permis.sion setting, network management, etc. in the process of use, the interface is simple and easy to use.







